กลศาสตร์
1. ธรรมชาติและพัฒนาการทางฟิสิกส์
2. การเคลื่อนที่แนวตรง
3. แรงและกฎการเคลื่อนที่
4. สมดุลกลของวัตถุ
5. งานและกฎการอนุรักษ์พลังงานกล
6.โมเมนตัมและการชน
7. การเคลื่อนที่แนวโค้ง
8. การเคลื่อนที่แบบฮาร์มอนิกส์อย่างง่าย
วัดการประยุกต์ใช้ความรู้ซึ่งมีเนื้อหาตามสาระการเรียนรู้แกนกลางและสาระการเรียนรู้เพิ่มเติม
กลุ่มสาระการเรียนรู้วิทยาศาสตร์และเทคโนโลยี (ฉบับปรับปรุง พ.ศ. 2560)
ตามหลักสูตรแกนกลางการศึกษาขั้นพื้นฐาน พุทธศักราช 2551 ได้แก่ สาระที่ 2 วิทยาศาสตร์กายภาพ และสาระฟิสิกส์
1. ธรรมชาติและพัฒนาการทางฟิสิกส์
2. การเคลื่อนที่แนวตรง
3. แรงและกฎการเคลื่อนที่
4. สมดุลกลของวัตถุ
5. งานและกฎการอนุรักษ์พลังงานกล
6.โมเมนตัมและการชน
7. การเคลื่อนที่แนวโค้ง
8. การเคลื่อนที่แบบฮาร์มอนิกส์อย่างง่าย
9. คลื่น
10. เสียง
11. แสง
12. ไฟฟ้าสถิต
13. ไฟฟ้ากระแส
14. แม่เหล็กและไฟฟ้า
15. คลื่นแม่เหล็กไฟฟ้า
16. ความร้อนและแก๊ส
17. ของแข็งและของไหล
18. ฟิสิกส์อะตอม
19. ฟิสิกส์นิวเคลียร์และฟิสิกส์อนุภาค
ปฏิกิริยานิวเคลียร์หนึ่ง เขียนแทนได้ด้วยสมการ

กำหนดให้
มวล 1
เทียบเท่ากับพลังงาน 932 เมกะอิเล็กตรอนโวลต์
เป็นมวลของคาร์บอน ในหน่วย ![]()
เป็นมวลของนีออน ในหน่วย ![]()
เป็นมวลของฮีเลียม ในหน่วย ![]()
ปฏิกิริยานิวเคลียร์นี้ เป็นปฏิกิริยานิวเคลียร์ชนิดใด และ พลังงานที่ได้จากปฏิกิริยานิวเคลียร์นี้ในหน่วยเมกะอิเล็กตรอนโวลต์มีค่าเท่าใด
ปฏิกิริยานิวเคลียร์นี้เป็นการรวมกันของนิวเคลียสของคาร์บอน-12 ที่มีมวลเบา ทำให้ได้นิวเคลียสใหม่ คือ นีออน-20 ที่มีมวลมากกว่าเดิม
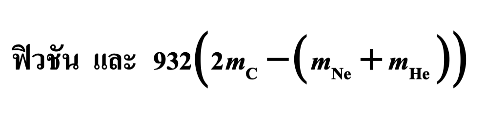
ดังนั้น ปฏิกิริยานิวเคลียร์นี้คือ ฟิวชัน โดยพลังงานที่ได้จากฟิวชันนี้หาได้จากพลังงานที่เทียบเท่าส่วนพร่องมวลของปฏิกิริยานี้ ดังนี้
หาส่วนพร่องมวล
จากผลต่างระหว่างมวลรวมก่อนกับหลังเกิดปฏิกิริยา จะได้

เนื่องจากส่วนพร่องมวลมีหน่วยเป็น
ดังนั้น หาพลังงานในหน่วยเมกะอิเล็กตรอนโวลต์ที่เทียบเท่าส่วนพร่องมวล จากสมการ

คลื่นดล 2 คลื่น มีรูปร่างแตกต่างกัน เคลื่อนที่เข้าหากันด้วยอัตราเร็ว 2 เมตรต่อวินาที โดยรูปร่างของคลื่นที่ t = 0 s เป็นดังภาพที่ 1 และเมื่อเวลาผ่านไปช่วงหนึ่งเป็นดังภาพที่ 2


คลื่นทั้งสองเกิดการแทรกสอดโดยคลื่นรวมมีแอมพลิจูดมากที่สุดเมื่อเวลาผ่านไปกี่วินาที และภาพที่ 2 เป็นรูปร่างของคลื่นเมื่อผ่านไปกี่วินาที ตามลำดับ
กำหนดให้คลื่นที่กำลังเคลื่อนที่ไปด้านขวามีสีแดง คลื่นที่กำลังเคลื่อนที่ไปด้านซ้ายมีสีน้ำเงิน และคลื่นที่มีการรวมกันมีสีม่วง

ทั้งนี้ รูปร่างคลื่น ณ เวลาต่าง ๆ เป็นดังนี้



เมื่อเวลาผ่านไป 3 วินาที คลื่นทั้งสองขยับในทิศทางตรงกันข้ามโดยคลื่นสีแดงเคลื่อนที่ไปเป็นระยะ 6 เมตร ส่วนคลื่นสีน้ำเงินเคลื่อนที่ไปเป็นระยะ 6 เมตร ทำให้ส่วนหลังของคลื่นสีแดงแทรกสอดกับคลื่นสีน้ำเงินแบบเสริมกัน จึงเกิดคลื่นรวมดังภาพข้างต้น


เมื่อเวลาผ่านไป 5 วินาที คลื่นทั้งสองขยับในทิศทางตรงกันข้ามโดยคลื่นสีแดงเคลื่อนที่ไปเป็นระยะ 10 เมตร ส่วนคลื่นสีน้ำเงินเคลื่อนที่ไปเป็นระยะ 10 เมตร ทำให้รูปร่างคลื่นเป็นดังสถานการณ์ในภาพที่ 2 ดังนั้น ตัวเลือก 3 จึงถูกต้อง
ลวดตัวนำยาวอนันต์สองเส้นวางตัวขนานกัน โดยกระแสไฟฟ้า
ที่ผ่านลวดแต่ละเส้นมีค่าเท่ากัน ถ้าให้ ณ เวลาเริ่มต้น อิเล็กตรอนอยู่ในระนาบเดียวกับลวดตัวนำทั้งสองเส้นที่ตำแหน่งกึ่งกลางระหว่างลวดทั้งสอง พิจารณาสถานการณ์และการบรรยายแนวโน้มการเคลื่อนที่ของอิเล็กตรอน 3 กรณี ต่อไปนี้
กำหนดให้ทิศทางต่าง ๆ เป็นดังนี้


กรณีใดบรรยายแนวโน้มการเคลื่อนที่ของอิเล็กตรอนได้ถูกต้อง
เมื่อมีกระแสไฟฟ้าผ่านลวดตัวนำจะเกิดสนามแม่เหล็กวนรอบลวดตัวนำนั้น ทิศทางเป็นไปตามกฎมือขวา โดยใช้นิ้วหัวแม่มือของมือขวาชี้ไปตามทิศทางของกระแสไฟฟ้า จากนั้นกำมือขวารอบลวดตัวนำเส้นตรง ทิศทางการวนของนิ้วทั้งสี่จะแสดงทิศทางของสนามแม่เหล็ก
เมื่ออนุภาคที่มีประจุไฟฟ้า q มีความเร็ว
เคลื่อนที่ภายใต้สนามแม่เหล็กที่มีทิศทางไม่ขนานกับความเร็ว
จะเกิดแรงเนื่องจากสนามแม่เหล็กกระทำต่ออนุภาคนั้น โดยขนาดของแรงเป็นไปตามสมการ ![]()
โดยทิศทางของแรง
เป็นไปตามกฎมือขวาขึ้นอยู่กับทิศทางของ
และ
ที่กระทำต่อกันด้วยมุม ![]()
พิจารณาแต่ละกรณีได้ดังต่อไปนี้
กรณี ก. : สนามแม่เหล็กเนื่องมาจากลวดตัวนำทั้งสองที่ตำแหน่งกึ่งกลางมีทิศพุ่งออกจากกระดาษ
ทำให้เกิดแรงแม่เหล็กกระทำกับประจุลบที่กำลังเคลื่อนที่ไปทางขวาในทิศพุ่งเข้าหาลวด A
ดังนั้น กรณี ก. จึงถูกต้อง
กรณี ข. : สนามแม่เหล็กเนื่องมาจากลวดตัวนำทั้งสองที่ตำแหน่งกึ่งกลางมีค่าเป็นศูนย์ (กระแสไฟฟ้า I ในแต่ละเส้นลวดไปในทิศเดียวกันทำให้สนามแม่เหล็กลัพธ์เป็นศูนย์) จึงไม่เกิดแรงแม่เหล็กกระทำกับอิเล็กตรอน ดังนั้น กรณี ข. จึงถูกต้อง
กรณี ค. : ไม่มีแรงแม่เหล็กกระทำกับอิเล็กตรอนเนื่องจากอิเล็กตรอนไม่มีความเร็ว อิเล็กตรอนจึงไม่เคลื่อนที่
ดังนั้น กรณี ค. จึงถูกต้อง
เครื่องจักรทำงานโดยการลากวัตถุไปบนพื้นระดับด้วยแรงที่มีทิศทางขนานกับพื้น ความสัมพันธ์ระหว่างแรงที่ใช้ลากกับตำแหน่งที่วัตถุเคลื่อนที่เป็นดังกราฟ

ถ้าเครื่องจักรใช้เวลา 1 นาที 30 วินาที ในการลากวัตถุมวล 30 กิโลกรัม จากตำแหน่ง 0 เมตร ไปถึงตำแหน่ง 50 เมตร กำลังเฉลี่ยของแรงที่ใช้ลากวัตถุของเครื่องจักรในช่วงดังกล่าวมีค่ากี่วัตต์
5 วัตต์
คำอธิบาย
หางานเนื่องจากแรงของเครื่องจักรโดยการหาพื้นที่ใต้กราฟจากตำแหน่ง 0 เมตร ถึงตำแหน่ง 50 เมตร ซึ่งแบ่งออก
ได้เป็น 2 ช่วง ดังภาพ จากนั้นนำงานที่ได้ไปหารด้วยเวลาที่ใช้ เพื่อหากำลังของแรงที่ใช้ลากวัตถุของเครื่องจักร

ช่วงที่ 1 จากตำแหน่ง 0 เมตร ถึง 40 เมตร งานเนื่องจากแรงของเครื่องจักรมีค่าเท่ากับพื้นที่ใต้กราฟในส่วนที่แรเงาหมายเลข
ซึ่งมีค่าเท่ากับ

ช่วงที่ 2 จากตำแหน่ง 40 เมตร ถึง 50 เมตร งานเนื่องจากแรงของเครื่องจักรมีค่าเท่ากับพื้นที่ใต้กราฟในส่วนที่แรเงาหมายเลข
ซึ่งมีค่าเท่ากับ

งานทั้งหมดเนื่องจากแรงของเครื่องจักรในช่วงเวลา 1 นาที 30 วินาที นี้มีค่าเท่ากับ
![]()
หากำลังเฉลี่ยของแรงที่ใช้ลากวัตถุของเครื่องจักรจากสมการ
โดย ![]()
แทนค่า จะได้ 
หญิงคนหนึ่งยิงลูกหินด้วยหนังสติ๊กออกไปในแนวระดับ ด้วยความเร็วต้น 50 เมตรต่อวินาที จากระดับความสูง 100 เมตร ดังภาพ

เมื่อเวลาผ่านไป 2 วินาที หลังจากลูกหินเริ่มเคลื่อนที่ ลูกหินจะอยู่สูงจากพื้นกี่เมตร
คำตอบที่ถูกคือ 80.4 เมตร
จากสถานการณ์ที่โจทย์กำหนด สามารถหาการกระจัดในแนวดิ่งได้ โดยใช้สมการ
![]()
ดังนั้น ลูกหินจะอยู่ที่ตำแหน่งความสูง -19.6 เมตร เทียบกับจุดเริ่มต้น หรือต่ำกว่าจุดที่ยิง 19.6 เมตร
จะได้ว่าที่เวลา 2 วินาที ลูกหินจะอยู่สูงจากพื้นเป็นระยะ ![]()
ดังนั้น ที่เวลา 2 วินาที หลังจากลูกหินเคลื่อนที่ ลูกหินจะอยู่สูงจากพื้น 80.4 เมตร