วิทยาศาสตร์ชีวภาพ
- ระบบนิเวศและสิ่งแวดล้อม
- การลำเลียงสารเข้าและออกจากเซลล์
- การรักษาดุลยภาพของร่างกายมนุษย์
- ระบบภูมิคุ้มกันของมนุษย์
- การดำรงชีวิตของพืช
- พันธุกรรมและวิวัฒนาการ
วัดการประยุกต์ใช้ความรู้ซึ่งมีเนื้อหาตามสาระการเรียนรู้แกนกลาง กลุ่มสาระการเรียนรู้วิทยาศาสตร์และเทคโนโลยี (ฉบับปรับปรุง พ.ศ. 2560) ตามหลักสูตรแกนกลางการศึกษาขั้นพื้นฐาน พุทธศักราช 2551
หมายเหตุ
1) ข้อสอบบางข้อมีการบูรณาการระหว่างเนื้อหา
2) ขอบเขตเนื้อหาของข้อสอบ สามารถศึกษาได้จาก เอกสารตัวชี้วัดและสาระการเรียนรู้แกนกลางกลุ่มสาระการเรียนรู้วิทยาศาสตร์ (ฉบับปรับปรุง พ.ศ. 2560) ตามหลักสูตรแกนกลางการศึกษาขั้นพื้นฐานพุทธศักราช 2551 จาก เว็บไซต์สำนักงานคณะกรรมการการศึกษาขั้นพื้นฐาน กระทรวงศึกษาธิการ
สารขนาดเล็ก 3 ชนิด มีสมบัติที่แตกต่างกันและมีความเข้มข้นของสารภายในและภายนอกเซลล์ก่อนเริ่มลำเลียงเข้าสู่เซลล์ ดังตาราง

ข้อใดระบุวิธีการลำเลียงสารแต่ละชนิดเข้าสู่เซลล์ได้ถูกต้อง
สารขนาดเล็กสามารถลำเลียงเข้าสู่เซลล์ได้หลายวิธี ได้แก่
การแพร่แบบธรรมดา เป็นการลำเลียงสารเข้าและออกจากเซลล์ผ่านเยื่อหุ้มเซลล์โดยตรง โดยมีทิศทางการลำเลียงจากบริเวณที่มีความเข้มข้นของสารละลายสูงไปยังบริเวณที่มีความเข้มข้นของสารละลายต่ำ
ออสโมซิส เป็นการแพร่ของน้ำเข้าและออกจากเซลล์ผ่านเยื่อหุ้มเซลล์ โดยมีทิศทางการลำเลียงจากบริเวณที่มีความเข้มข้นของสารละลายต่ำ (โมเลกุลของน้ำมาก) ไปยังบริเวณที่มีความเข้มข้นของสารละลายสูง (โมเลกุลของน้ำน้อย)
การแพร่แบบฟาซิลิเทต เป็นการลำเลียงสารเข้าและออกจากเซลล์ผ่านโปรตีนลำเลียงที่แทรกอยู่บนเยื่อหุ้มเซลล์ โดยมีทิศทางการลำเลียงจากบริเวณที่มีความเข้มข้นของสารสูงไปยังบริเวณที่มีความเข้มข้นของสารต่ำ
การลำเลียงแบบแอกทีฟทรานสปอร์ต เป็นการลำเลียงสารเข้าและออกจากเซลล์ผ่านโปรตีนลำเลียงที่แทรกอยู่บน
เยื่อหุ้มเซลล์โดยใช้พลังงานจากภายในเซลล์ ทำให้สามารถมีทิศทางการลำเลียงจากบริเวณที่มีความเข้มข้นของสารต่ำไปยังบริเวณที่มีความเข้มข้นของสารสูงได้
จากข้อมูลสามารถสรุปได้ดังนี้

ข้อมูลเกี่ยวกับจำนวนอนุภาคมูลฐานบางส่วนของธาตุสมมุติ
และ
เป็นดังนี้

ข้อใดไม่ถูกต้อง
จากข้อมูลสามารถระบุจำนวนอนุภาคมูลฐานของธาตุสมมติ X W และ Z ได้ดังนี้


รถคันหนึ่งเคลื่อนที่ในแนวตรงจากหยุดนิ่ง โดยทุก ๆ 2 วินาที รถคันนี้มีความเร็วเพิ่มขึ้น 3.0 เมตรต่อวินาที ตลอดช่วง 10 วินาทีแรก
หลังจากนั้นรถคันนี้เคลื่อนที่ต่อไปด้วยความเร็วคงตัว
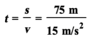
ในช่วง 10 วินาทีแรก รถคันนี้มีขนาดความเร่งเฉลี่ยเท่าใด และในช่วงที่รถเคลื่อนที่ด้วยความเร็วคงตัว รถจะต้องใช้เวลาเท่าใดจึงจะเคลื่อนที่ได้ระยะทาง 75 เมตร ในช่วงความเร็วคงตัวนี้
ขนาดความเร่งเฉลี่ยของรถหาได้จากอัตราส่วนระหว่างขนาดของการเปลี่ยนแปลงความเร็วต่อเวลา
ข้อมูลระบุว่า ทุก ๆ 2 วินาที รถมีความเร็วเพิ่มขึ้น 3.0 เมตรต่อวินาที หรือเท่ากับทุก ๆ 1 วินาที
ความเร็วเพิ่มขึ้น 1.5 เมตรต่อวินาที โดยที่การเปลี่ยนแปลงความเร็วนี้มีค่าคงตัวตลอด 10 วินาทีแรก
ของการเคลื่อนที่ จึงสรุปได้ว่า ในช่วง 10 วินาทีแรก รถคันนี้มีขนาดความเร่งเฉลี่ย 1.5 เมตรต่อวินาที²
สำหรับการเคลื่อนที่หลังจากเวลาผ่านไป 10 วินาที รถจะมีความเร็วคงตัว 15 เมตรต่อวินาที
ดังนั้น ในการเคลื่อนที่ได้ระยะทาง 75 เมตร จะต้องใช้เวลา
= 5.0 วินาที
สัญลักษณ์และชื่อสัญลักษณ์แสดงสภาพลมฟ้าอากาศบริเวณกว้าง เป็นดังตาราง

หากในช่วงเวลาหนึ่ง พื้นที่ 3 บริเวณ ของภูมิภาคเอเชียตะวันออกเฉียงใต้พบสภาพลมฟ้าอากาศดังนี้
พื้นที่ A เกิดพายุฝนฟ้าคะนอง และมีลมแรง
พื้นที่ B มีอากาศเย็น และมีท้องฟ้าปลอดโปร่ง
พื้นที่ C มีอากาศชื้น และมีเมฆมาก
ข้อใดระบุสัญลักษณ์แสดงสภาพลมฟ้าอากาศบริเวณกว้างที่มีโอกาสพบบนแผนที่อากาศผิวพื้นของพื้นที่ทั้ง 3 บริเวณ
ในช่วงเวลาดังกล่าวได้ถูกต้องทั้งหมด

จากข้อมูลสภาพลมฟ้าอากาศในสถานการณ์ สามารถทำนายสัญลักษณ์แสดงสภาพลมฟ้าอากาศบริเวณกว้างที่มีโอกาสพบบนแผนที่อากาศผิวพื้นของพื้นที่ทั้ง 3 บริเวณ ในช่วงเวลาดังกล่าวได้ดังนี้
“พื้นที่ A เกิดพายุฝนฟ้าคะนอง และมีลมแรง” จะมีโอกาสพบสัญลักษณ์แสดงสภาพลมฟ้าอากาศบริเวณกว้างบนแผนที่อากาศผิวพื้นในช่วงเวลาดังกล่าว ได้แก่
และ
เนื่องจาก
และ
คือ พายุดีเปรสชัน พายุโซนร้อน และพายุไต้ฝุ่น/ พายุไซโคลน ตามลำดับ
และ
คือ แนวปะทะอากาศเย็น แนวปะทะอากาศรวม และร่องความกดอากาศต่ำ ตามลำดับ หากพบสัญลักษณ์เหล่านี้ปรากฏอยู่บริเวณใดบนแผนที่อากาศผิวพื้น หมายความว่า พื้นที่บริเวณนั้นจะมีลมแรงและมีฝนฟ้าคะนอง
“พื้นที่ B มีอากาศเย็น และมีท้องฟ้าปลอดโปร่ง” จะมีโอกาสพบสัญลักษณ์แสดงสภาพลมฟ้าอากาศบริเวณกว้างบนแผนที่อากาศผิวพื้นในช่วงเวลาดังกล่าว ได้แก่
คือ ความกดอากาศสูง หากพบสัญลักษณ์นี้ปรากฏอยู่บริเวณใดบนแผนที่อากาศผิวพื้น หมายความว่า พื้นที่บริเวณนั้นจะมีอากาศเย็น มีความชื้นต่ำ และมักพบท้องฟ้าปลอดโปร่ง แจ่มใส
“พื้นที่ C มีอากาศชื้น และมีเมฆมาก” จะมีโอกาสพบสัญลักษณ์แสดงสภาพลมฟ้าอากาศบริเวณกว้างบนแผนที่อากาศผิวพื้นในช่วงเวลาดังกล่าว ได้แก่
คือ ความกดอากาศต่ำ ถ้าสัญลักษณ์นี้ปรากฏเหนือแผ่นดิน หมายความว่า บริเวณนั้นจะมีอากาศร้อนและความชื้นต่ำ แต่ถ้าสัญลักษณ์นี้ปรากฏเหนือทะเล หมายความว่า บริเวณนั้นจะมีอากาศชื้นและมีโอกาสเกิดเมฆมาก
โครงสร้างโลกตามองค์ประกอบทางเคมีแบ่งเป็น 3 ชั้น ได้แก่ ชั้น A B และ C ดังภาพ

หมายเหตุ ภาพไม่เป็นไปตามสัดส่วนจริง
ข้อความต่อไปนี้ถูกต้องใช่หรือไม่
ตัวเลือกข้อ 1. ไม่ใช่ 2. ไม่ใช่ 3. ใช่
คำอธิบาย
1. ไม่ใช่ เนื่องจากหินแปลกปลอมที่ถูกพาขึ้นมาพร้อมกับลาวา เป็นเศษหินแข็ง ซึ่งจากการตรวจสอบองค์ประกอบทางเคมี
พบว่า หินแปลกปลอมโดยส่วนใหญ่มีองค์ประกอบเป็นซิลิกอน เหล็กและแมกนีเซียม
ซึ่งคล้ายกับโครงสร้างโลกชั้น B (เนื้อโลก)
นอกจากนี้ ยังพบหินแปลกปลอมอีกกลุ่มหนึ่งที่มีองค์ประกอบหลักเป็นซิลิกอนและแมกนีเซียม
ซึ่งคล้ายกับโครงสร้างโลกชั้น C (เปลือกโลก) จากการที่แมกมาหรือลาวามีกำเนิดมาจากเนื้อโลกตอนบน
นักวิทยาศาสตร์จึงสันนิษฐานว่าหินแปลกปลอมที่มีองค์ประกอบคล้ายกับโครงสร้างโลกชั้น B
มีกำเนิดมาจากโครงสร้างโลกชั้น B และจัดเป็นหินแปลกปลอมระดับลึก
ส่วนหินแปลกปลอมที่มีองค์ประกอบคล้ายกับโครงสร้างโลกชั้น C มีกำเนิดมาจากโครงสร้างโลกชั้น C
และจัดเป็นหินแปลกปลอมระดับตื้น และการที่แมกมาหรือลาวามีกำเนิดมาจากเนื้อโลกตอนบน
จึงไม่สามารถพาเอาหินแปลกปลอมจากโครงสร้างโลกชั้น A (แก่นโลก) ขึ้นมาได้
2. ไม่ใช่ เนื่องจากโครงสร้างโลกชั้น C คือ ชั้นเปลือกโลก ประกอบด้วย เปลือกโลกทวีป และเปลือกโลกมหาสมุทร
โดยเปลือกโลกมหาสมุทรมีองค์ประกอบหลักเป็นสารประกอบของซิลิกอนและแมกนีเซียม
จึงมีความหนาแน่นมากกว่าเปลือกโลกทวีป ซึ่งมีองค์ประกอบหลักเป็นสารประกอบของซิลิกอนและอะลูมิเนียม
ดังนั้น คลื่นปฐมภูมิ ซึ่งเคลื่อนที่ผ่านตัวกลางที่มีความหนาแน่นมากได้ดีกว่าตัวกลางที่มีความหนาแน่นน้อย
จึงเคลื่อนที่ผ่านเปลือกโลกมหาสมุทรด้วยความเร็วสูงกว่าเมื่อเคลื่อนที่ผ่านเปลือกโลกทวีป
3. ใช่ เนื่องจากนักวิทยาศาสตร์สันนิษฐานว่า อุกกาบาตเหล็กและโลกเกิดขึ้นมาพร้อมกับการกำเนิดระบบสุริยะ
โดยอุกกาบาตเหล็กมีความหนาแน่นใกล้เคียงกับความหนาแน่นของแก่นโลกที่ได้คำนวณไว้
ดังนั้น อุกกาบาตเหล็กจึงควรมีองค์ประกอบหลักทางเคมีคล้ายกับโครงสร้างโลกชั้น A