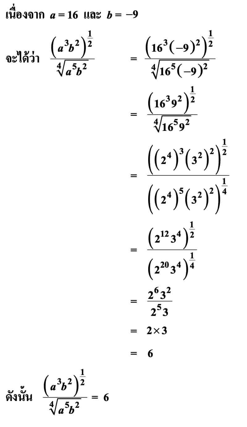
จำนวนและพีชคณิต
- เซต
- ตรรกศาสตร์เบื้องต้น
- เลขยกกำลัง
- ฟังก์ชัน
- ลําดับและอนุกรม
- ดอกเบี้ยและมูลค่าของเงิน
วัดการประยุกต์ใช้ความรู้ซึ่งมีเนื้อหาตามสาระการเรียนรู้แกนกลาง กลุ่มสาระการเรียนรู้คณิตศาสตร์
(ฉบับปรับปรุง พ.ศ. 2560) ตามหลักสูตรแกนกลางการศึกษาขั้นพื้นฐาน พุทธศักราช 2551




ในการประชุมครั้งหนึ่งมีผู้เข้าร่วมประชุม 185 คน และต้องมีการลงมติสองเรื่องจากการลงมติ พบว่า ในการลงมติแต่ละเรื่อง ผู้ที่เข้าร่วมประชุมทุกคนได้ลงคะแนน ว่าเห็นชอบหรือไม่เห็นชอบอย่างใดอย่างหนึ่งเท่านั้นโดยมีผู้ลงคะแนนว่าเห็นชอบในเรื่องแรก 145 คน และมีผู้ลงคะแนนว่าเห็นชอบในเรื่องที่สอง 100 คน
ถ้าจำนวนผู้ลงคะแนนว่าเห็นชอบทั้งสองเรื่องเป็นสามเท่าของจำนวนผู้ลงคะแนนว่าไม่เห็นชอบทั้งสองเรื่อง แล้วมีผู้ลงคะแนนว่าเห็นชอบทั้งสองเรื่องกี่คน

กำหนดฟังก์ชันแสดงค่าบริการขนส่งพัสดุที่มีน้ำหนักไม่เกิน 10 กิโลกรัม ไปประเทศจีนของบริษัทขนส่งพัสดุแห่งหนึ่ง ดังนี้

เมื่อ
แทนค่าบริการขนส่งพัสดุที่มีน้ำหนัก
กิโลกรัม ( บาทต่อชิ้น )
ถ้าใช้บริการขนส่งพัสดุของบริษัทนี้ในการส่งพัสดุไปประเทศจีน 2 ครั้ง
โดย ครั้งที่หนึ่งส่งพัสดุ 1 ชิ้น ที่มีน้ำหนัก 0.5 กิโลกรัม และ
ครั้งที่สองส่งพัสดุ 1 ชิ้น ที่มีน้ำหนัก 5 กิโลกรัม
แล้วต้องจ่ายค่าบริการในการขนส่งพัสดุ 2 ครั้งนี้ รวมกันกี่บาท
คำอธิบาย
ค่าบริการในการส่งพัสดุครั้งที่หนึ่งที่มีน้ำหนัก 0.5 กิโลกรัม เท่ากับ 400 บาท
ค่าบริการในการส่งพัสดุครั้งที่สองที่มีน้ำหนัก 5 กิโลกรัม เท่ากับ 1,000 บาท
ดังนั้น ต้องจ่ายค่าบริการในการขนส่งพัสดุ 2 ครั้งนี้ รวมกัน 1,400 บาท
ผลการสำรวจข้อมูลเกี่ยวกับจำนวนชั่วโมงที่อ่านหนังสือในหนึ่งสัปดาห์ของนักเรียน
จำนวน 22 คน แสดงด้วยแผนภาพจุดได้ดังนี้

ควอร์ไทล์ที่ 3 ของข้อมูลชุดนี้เท่ากับกี่ชั่วโมง
